11k Page Report - Harris Vol. 2

Pages 10372-10432

Go Back to 11k Witness Location index

Harris Vol. 2 Index

HARRIS VOLUME 2
pp.10372-10432 Page Links
HARRIS EVIDENCE
[pp.10373-10409]
10372 (C), 10373, 10374, 10375, 10376, 10377, 10378, 10379, 10380, 10381, 10382, 10383, 10384, 10385, 10386, 10387, 10388, 10389, 10390, 10391, 10392, 10393, 10394, 10395, 10396, 10397, 10398, 10399, 10400, 10401, 10402, 10403, 10404, 10405, 10406, 10407, 10408, 10409
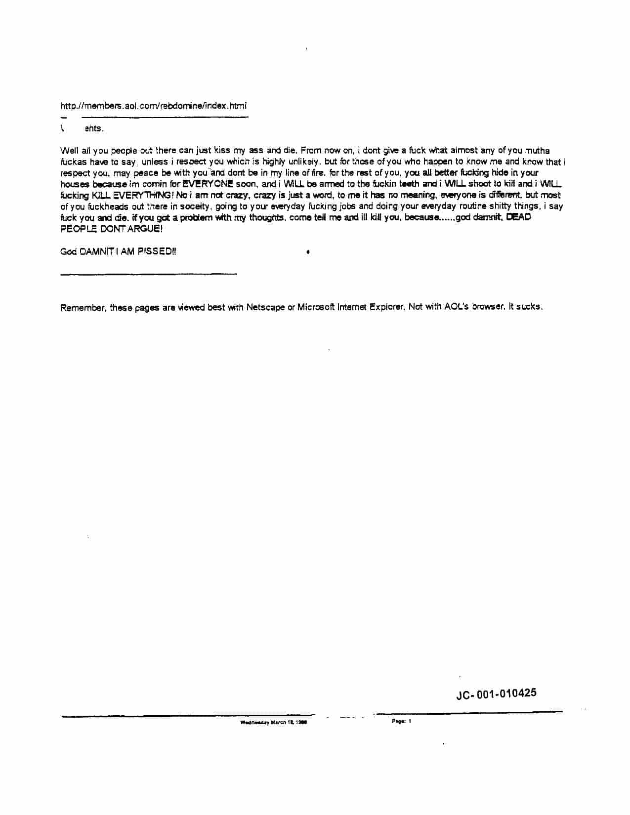
INTERNET
[pp.10410-10432]
10410, 10411, 10412, 10413, 10414, 10415, 10416, 10417, 10418, 10419, 10420, 10421, 10422, 10423, 10424, 10425, 10426, 10427, 10428, 10429, 10430, 10431, 10432